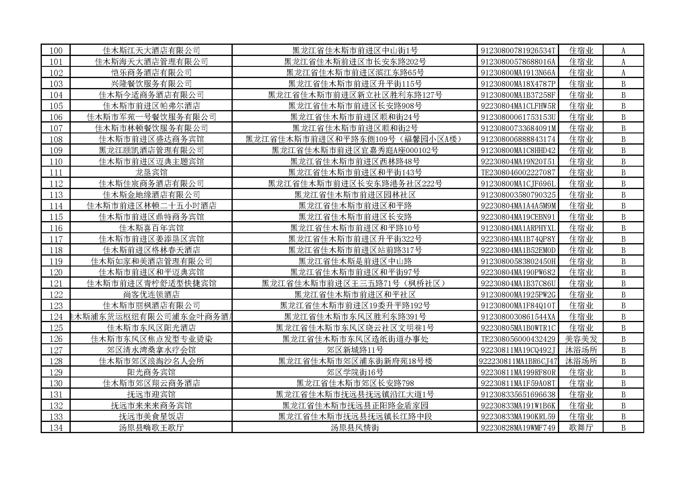
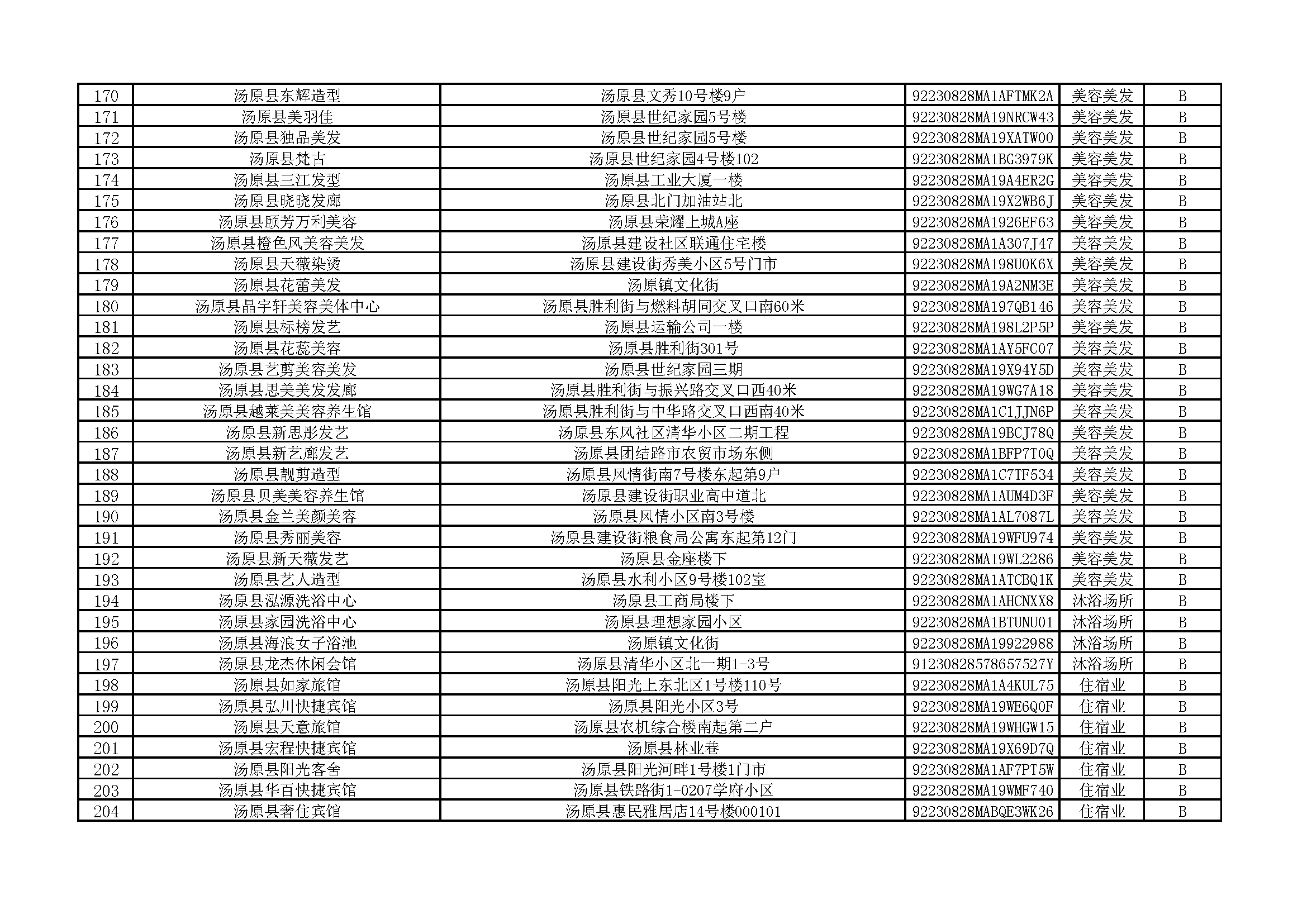
为认真贯彻落实《黑龙江省公共场所卫生信用分类监管办法(试行)》,创造良好的社会信用环境,促进公共场所规范诚信经营,提升公共卫生安全保障,佳木斯市卫生健康委组织全市开展公共场所卫生信用等级评价工作,对评价结果为A级(信用优秀)、B级(信用良好)单位,在卫生信用等级有效期内实行宽松信任化监管、宽松包容化监管。上半年公共场所卫生信用等级评价A级单位4家、B级单位375家,现予以公示。
附件:2023年上半年佳木斯市公共场所卫生信用等级评价A级、B级单位公示名单
佳木斯市卫生健康委员会
2023年6月25日











